Limites: Algebraico
Limites: Método Algebraico
Calculo de limites de funciones:
si hay una imagen existente de una función no definida en el punto que debemos calcular el limite, este mismo será = a la imagen por la función en el punto.
ejemplos:
Aquí podemos ver que al reemplazar la X podemos encontrar la función a la que pertenece.
Pero hay casos que se nos presenta un primer problema que son las expresiones sin sentido como por ejemplo la fracción de 0/0
Estas son causadas cuando un ejercicio es indeterminado por eso son denominadas como "Expresiones indeterminadas"
existen indeterminaciones como por ejemplo: 0/0. k/0
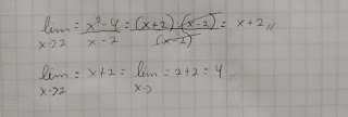
En este caso podemos ver que al remplazar la x con el 2 se nos indetermina la función dando como resultado 0/0
Por lo tanto tenemos que buscar una forma en que función no se nos indetermine por lo que haremos lo siguiente.
factorizaremos el numerador y eliminaremos los que son iguales asi dejando solo x+2.
después nos queda que limite de X yendo hacia 2 es igual a X+2, a X cuando lo reemplazamos queda 2+2=4 por lo que el limite de la función en este caso queda como 4 y deja de ser una función indeterminada.
info: https://www.youtube.com/watch?v=rrbS5l--1Ss y classroom de la clase electivo de matematicas




Comentarios
Publicar un comentario